高山峯夫のホームページ
免震構造に関する研究 建築構造物の振動問題に関する研究 4menshin.net
トップページ
最新情報
略歴
記事
入門編
実践編
リンク集
お問い合わせ
記事
設計者のための免震入門(4) 積層ゴムの構造と特徴
 
 
圧縮剛性
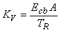
 積層ゴムの圧縮剛性 は、前に述べた縦弾性係数 を用いることで通常の柱の軸剛性と同様に次式で算出できる。

(5)

ここで、
TR : 全ゴム層厚,  A : 断面積
 図2には鉛直剛性 KV をゴム直径 D で除して基準化した KV / D と形状係数の関係を示す。計算には G =4.5kg/cm2 [0.44MPa]、 Eb =20t/cm2 [1.96GPa]、 κ =0.85を用いている。鉛直剛性は形状係数の増加に伴って大きくなっている。ゴム材質が決定されれば、形状係数(S1S2 )を適切に選択することで必要な鉛直剛性を得ることが可能となる。
図2 Kv/Dと1次形状係数S1の関係
 せん断変形時の圧縮剛性は、有効支持面積にほぼ比例して低下することが実験的にも確認されている。図3は積層ゴムがせん断変形をしたときの3次元有限要素解析による鉛直応力度の分布の解析例である。この図をみても分かるように鉛直荷重はほぼ積層ゴムの上下面の重複部分で支持されていることがわかる。せん断変形が大きくなれば、有効支持面積は減少するため、この時の圧縮剛性も低下する。ただし、せん断変形が大きくなればゴム材料のひずみ硬化により単純に比例的に低下しないことも認められている。
図3 積層ゴムの鉛直応力分布(σ=300kg/cm2)の解析例
 せん断変形が δ の時の有効支持面積は、図4を参照すれば積層ゴムの最上下面の重複部分の面積として、次式で算出できる。変形が直径の0.6倍以下であれば、単純な近似式も適用できる。

(6)

図4 積層ゴムの有効支持部分
よって、(5)式と(6)式に基づいてせん断変形時の圧縮剛性の下限値 KVe として次式が得られる。

(7)

ここで、 Ae :有効支持面積
 積層ゴムに中心孔がある場合には、中心孔を考慮した1次形状係数を用いることで簡略的に対応している。中心孔が非常に大きくなった場合の鉛直剛性の評価については文献4)などに詳しく示されている。





BACK 1 / 2 / 3 / 4 / 5 / 6
NEXT



copyright 2004 (c) Fukuoka Univarsary Takayama Mineo All right reserved.