高山峯夫のホームページ
免震構造に関する研究 建築構造物の振動問題に関する研究 4menshin.net
トップページ
最新情報
略歴
記事
入門編
実践編
リンク集
お問い合わせ
記事
設計者のための免震入門(9)免震建物の地震応答特性
 
応答変位の算出
 図3に免震層の計算手法の概要を示す。最初に、使用する免震部材の水平基準変形( δU )から免震層の設計限界変位 δS を(4)式で求める。
(4)
 積層ゴムの場合、 β は安定した復元力特性が確保できる範囲が0.75〜0.8 δU 程度であることから、β =0.8と規定されている1)
 (4)式の設計限界変位に対応する免震層の履歴曲線から等価周期 と等価粘性減衰定数 を次式により求める。
(5)
ここで、Kは免震層の設計限界変位時の等価剛性。
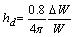
(6)
 ΔW は設計限界変位時の履歴ループの面積、Wは弾性ひずみエネルギー(等価剛性の線で囲まれる三角形の面積)である。(6)式の係数0.8は、実際の地震時に建築物は微少な振幅を含め様々な振幅で振動するため、振幅による減衰の効果を評価するための調整係数とされている。しかし、地震動特性を一義的に示すことは困難であり、単一の係数で表現できるか疑問である。
 図4にはバイリニア型復元力特性の等価粘性減衰定数 heq と設計限界変位の関係を示す。復元力特性の降伏変位 δy =2cm、降伏せん断力係数 αs=3%、5%、7%とし、降伏後剛性(2次剛性)に基づく周期 Tƒ を4秒と5秒の2種類とした。等価粘性減衰定数は次式で求められる。
等価粘性減衰定数は小変位の位置で最大値を示した後、単調に減少する。等価減衰は降伏荷重が大きく、周期 Tƒ が短い(Wが小さくなるため)ほど大きくなる。周期が短ければ等価減衰は更に小さくなることは明らかである。同図中には、等価減衰を(3)式により Fh に変換した結果も示されている。なお、(3)式の適用にあたっては(6)式に従って hd = 0.8heq としている。 Fh は変形が大きくなるに従って、増加するようになる。設計限界変位を40cm程度とした時、ダンパー量が多めであれば Fh =0.5程度、通常のダンパー量であれば0.6〜0.7程度の範囲にあることがわかる。
 (3)(5)(6)式の結果を(1)式に代入すれば地震力Qが求められる。地震力Qを等価剛性Kで除すれば基準変位 が求められる。基準変位 が等価線形化法による解であるが、告示では種々の変動を考慮して応答変位 δr を(7)式で求めるようにしている。
(7)
ここで、係数1.1はねじれの影響を、 α は免震部材特性のばらつきや経年変化などによる特性変化を考慮して、1.2以上をとるようになっている。従って、応答変位 δr は基準変位 δ の1.32倍以上となる。
 応答評価の判定基準は、 である。より合理的な応答を評価するために応答変位に収束値を使用することも可能である。この判定がNGであれば、水平基準変形の見直し、免震層の復元力特性の再設定などを行うことになる。





BACK 1 / 2 / 3 / 4
NEXT



copyright 2004 (c) Fukuoka Univarsary Takayama Mineo All right reserved.